米尔科在一个数据中心,今天的任务是要复制一个1G的文件到n个电脑。这些计算机用整数1到n表示,并连接成一个所谓的树。更确切地说,N−1对电脑中每对通过网线直接连接的这种方式,是唯一的途径。
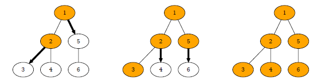
图1:在第一个示例测试中,将文件复制到所有计算机需要两分钟。
最初,米尔科手动将文件放置在两台不同的计算机上--计算机A和计算机B,现在正在编写将文件复制到所有其他计算机的命令。只有当两台计算机直接连接时,才能将文件从计算机X复制到计算机y,而复制过程只需一分钟。在任何时候,每个单独的计算机最多只能参与一个复制过程,但允许在任意多台不同的计算机同时对文件进行复制。因此,当复制过程从计算机X转到计算机y时,有可能在下一分钟将文件从计算机X拷贝到计算机w,从计算机y复制到计算机Z。
确定将文件复制到所有计算机所需的最小时间。
输入:
第一行包括整数n和整数a,b($1\le a,b\le n$)——计算机的数量和已经包含文件的计算机的标签
接下来n-1行包括整数x和y($1\le x,y\le n$)——通过网络电缆直接连接的计算机的标签。计算机网络形成一棵树,如任务中所描述的。
输出:
您必须在几秒内输出所需的最小时间量。
Scoring
| subtask | score | Limitations |
|---|---|---|
| 1 | 31 | 1≤n≤1000 |
| 2 | 69 | 1000≤n≤300000 |
样例:
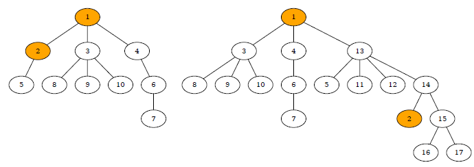
input 6 2 1 1 2 2 3 2 4 1 5 5 6 output 2 input 10 1 2 1 2 2 5 1 3 1 4 4 6 6 7 3 8 3 9 3 10 output 4 Input 17 1 2 1 3 1 4 4 6 6 7 3 8 3 9 3 10 1 13 13 5 13 11 13 12 13 14 14 15 15 16 15 17 14 2 output 5

图2:第二次和第三次样本测试的插图
